• Предмет: Алгебра
  • Автор: jivshina
  • Вопрос задан 3 года назад

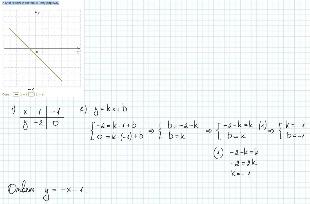
Изучи график и составь к нему формулу.

Приложения:

Ответы

Ответ дал: AiMus
1

Ответ:

решено

Объяснение:

Приложения:
Вас заинтересует