• Предмет: Математика
  • Автор: hamaveg153
  • Вопрос задан 3 года назад

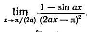
Найти пределы используя правило Лопиталя

Приложения:

Ответы

Ответ дал: pushpull
0

Ответ:

Пошаговое объяснение:

здесь будем производные брать два раза

\displaystyle  \lim_{n \to {\pi /2a}} \frac{1-sin(ax)}{(2ax-\pi )^2} =\left[\begin{array}{ccc}(1-sin(ax))' = -a*cos(ax)\hfill\\((2ax-\pi )^2)'= 2(2ax-\pi )*2a = 8a^2x -4a\pi \\\end{array}\right] \\

\displaystyle = \lim_{n \to {\pi /2a}} \frac{-a*cos(ax)}{8a^2x-4a\pi } = \lim_{n \to {\pi /2a}}  \frac{-cos(ax)}{8ax-4\pi } =\left[\begin{array}{ccc}(-cos(ax))'=a*sin(ax)\\(8ax-4\pi )' = 8a\hfill\\\end{array}\right] =

\displaystyle = \lim_{n \to {\pi /2a}} \frac{a*sin(ax)}{8a} =\lim_{n \to {\pi /2a}} \frac{sin( a\displaystyle \frac{\pi }{2a}) }{8} =\frac{1}{8}

Вас заинтересует