• Предмет: Математика
  • Автор: qbpsrpxxxd
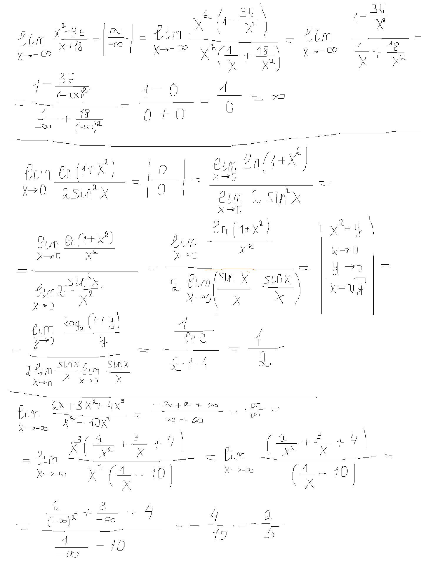
  • Вопрос задан 3 года назад

Помогите с вычислением предела

Приложения:

Ответы

Ответ дал: ssroman72
1

Ответ:

решение смотреть на картинке

Пошаговое объяснение:

Приложения:
Вас заинтересует