• Предмет: Алгебра
  • Автор: sergiibx
  • Вопрос задан 3 года назад

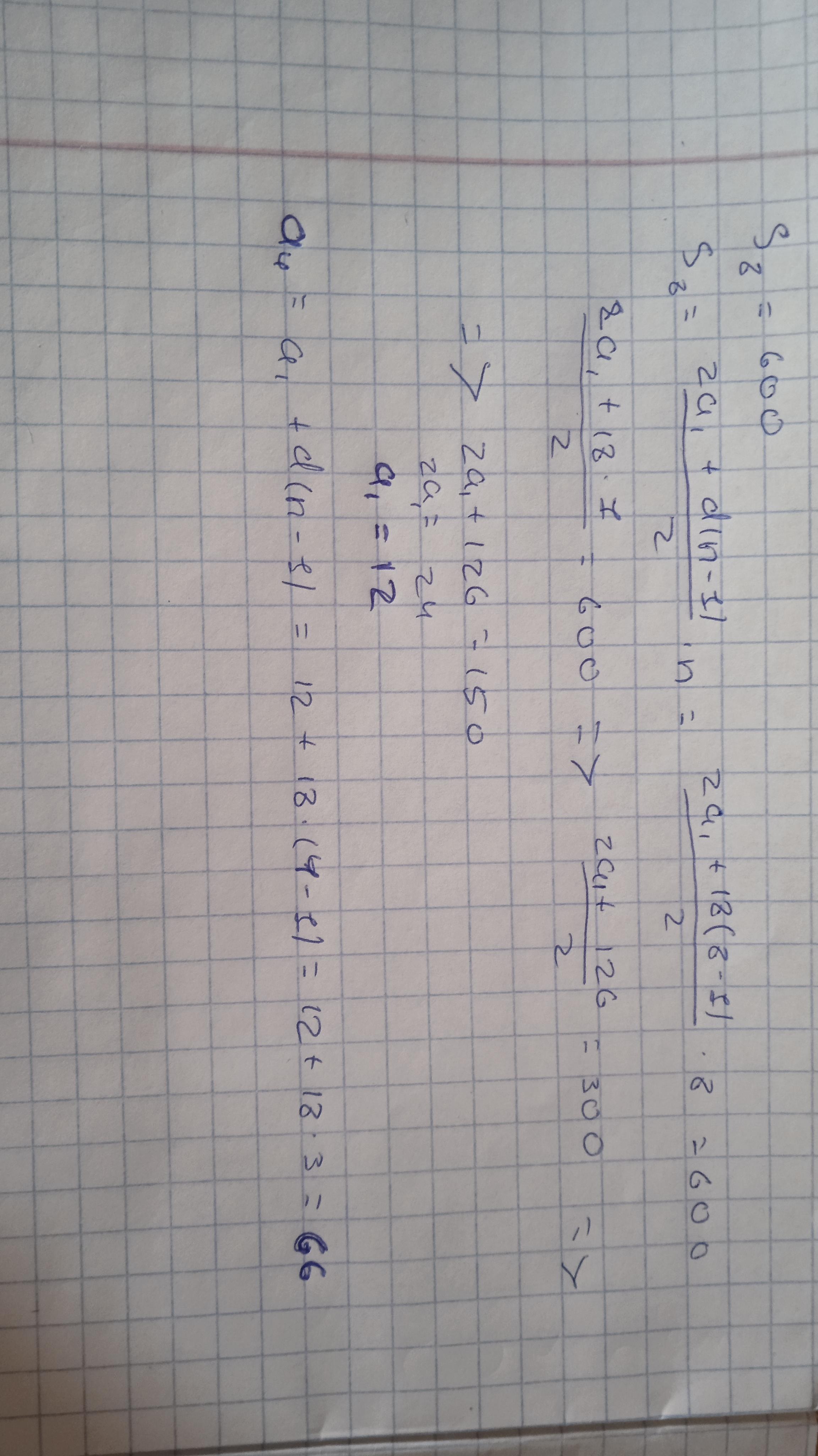
Знайдіть перший та четвертий члени арифметичної прогресії, якщо її різниця дорівнює 18, а сума восьми її перших членів дорівнює 600

Ответы

Ответ дал: VanessaKurdina
2

Ответ:

а1=12  а2=66

Объяснение:

Приложения:
Вас заинтересует