• Предмет: Математика
  • Автор: lolokek1212lol
  • Вопрос задан 3 года назад

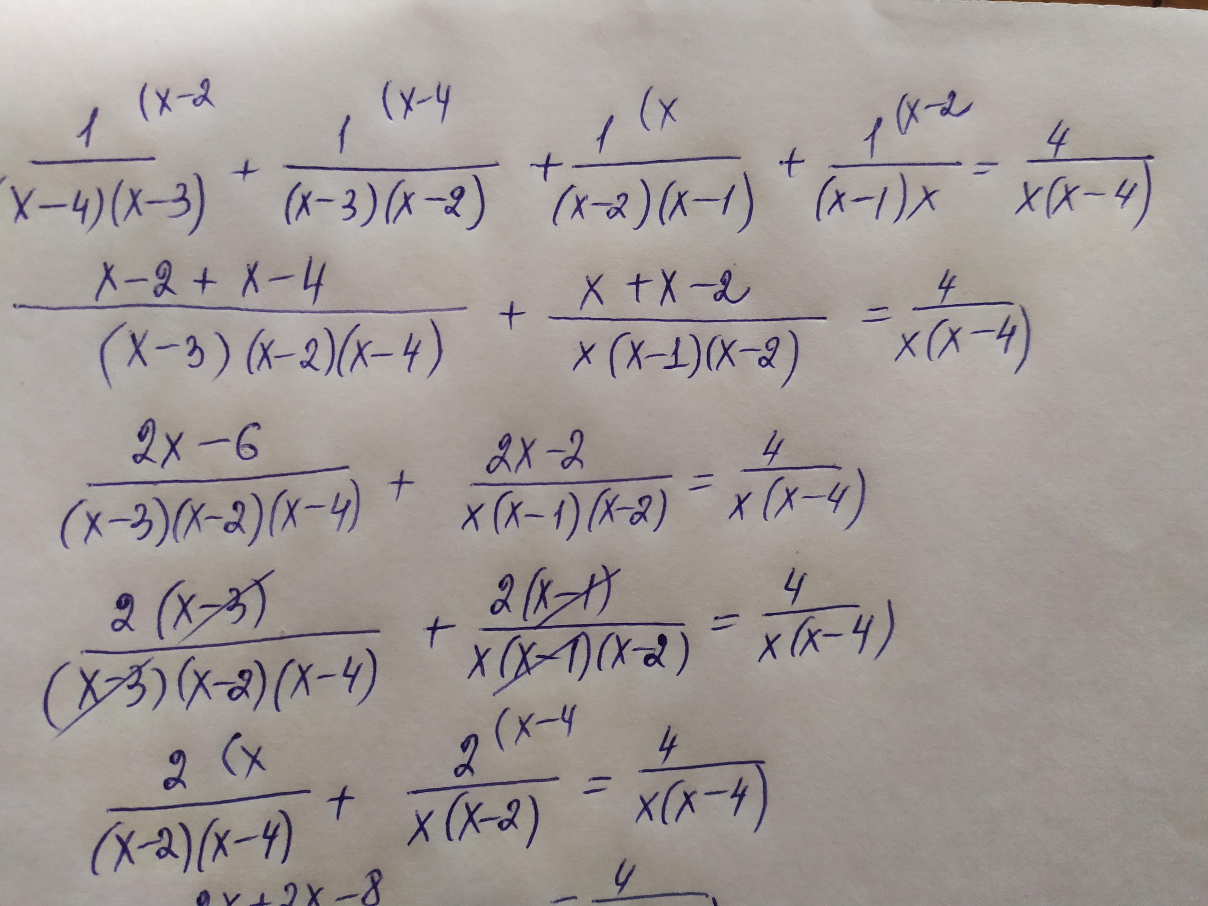
Не могу решить тождество,помоги пожалуйста

Приложения:

Ответы

Ответ дал: solyanine
1

Ответ:

Пошаговое объяснение:

Приложения:
Вас заинтересует