Ответы
Ответ дал:
1
Если я смог тебе помочь, ставь класс :)
Объяснение:
Объяснение:
Приложения:

Ответ дал:
0
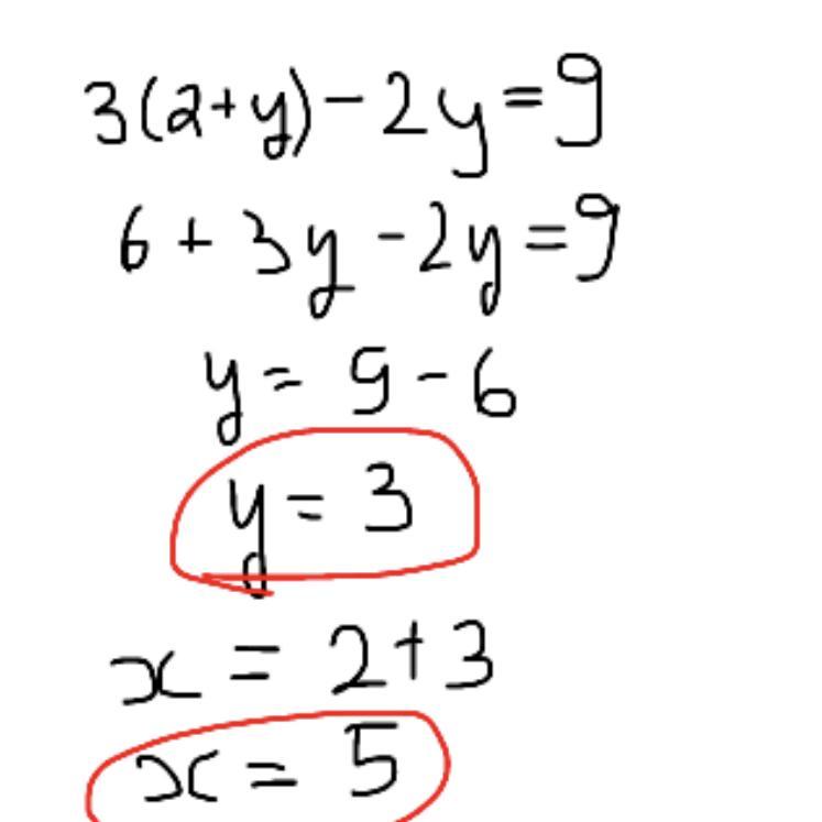
Ответ:
ответы получаются такие :
x=5
y=5-2=3
Приложения:

Вас заинтересует
2 года назад
2 года назад
2 года назад
2 года назад
8 лет назад
8 лет назад
9 лет назад