Ответы
Ответ дал:
0
Ответ:
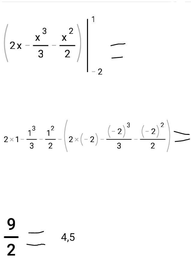
4,5
Объяснение:
1. Строим график, смотри фото
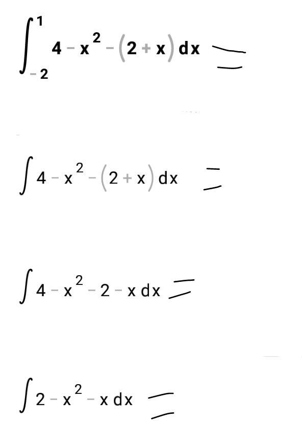
2. Приравниваем функции
4-х^2=2+х
4-х^2-2-х=0
х^2+х-2=0
Находим корни:
х1=-2, х2=1
3. Считаем интеграл (на фото):
Приложения:



Ответ дал:
0
Ответ:
Объяснение:
хай
Приложения:


Вас заинтересует
2 года назад
2 года назад
2 года назад
8 лет назад
8 лет назад
9 лет назад
9 лет назад