• Предмет: Математика
  • Автор: kto073292
  • Вопрос задан 3 года назад

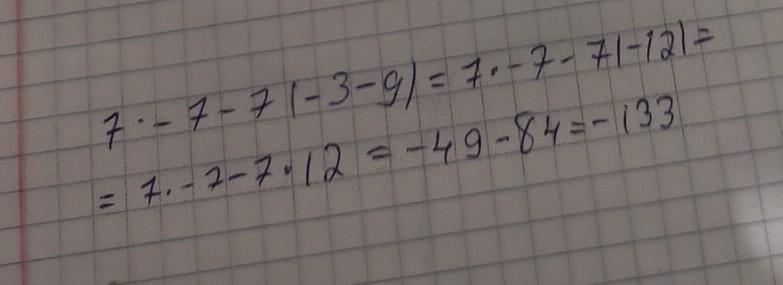
Найди значение выражения 7x−7|y−9| при x=−7, y=−3.

 ​

Ответы

Ответ дал: manyny06
1

Ответ:

решение смотри на фотографии

Приложения:
Ответ дал: Аноним
0

на фото.................

Приложения:
Вас заинтересует