Ответы
Ответ дал:
1
Ответ:
Пошаговое объяснение:
1. Строим график (смотри фото)
2. Приравниваем функции
5х+5=11-х
5х+х=11-5
6х=6
х=1
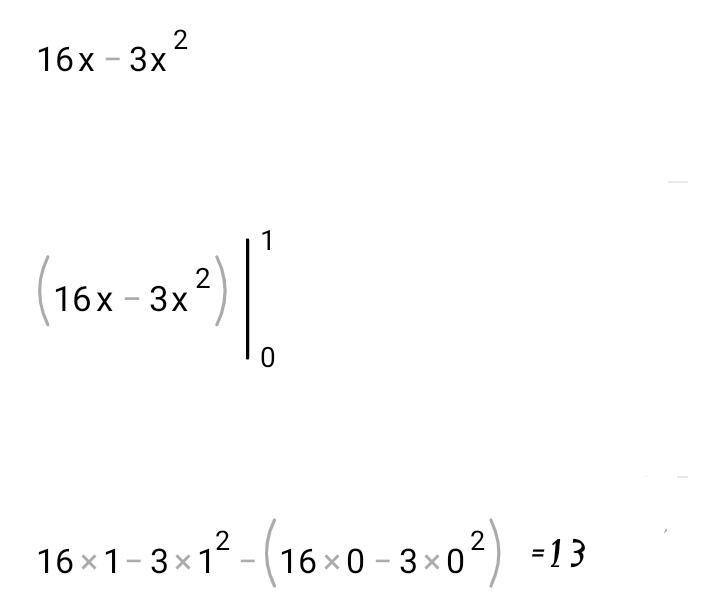
3. Считаем интеграл
Приложения:



Ответ дал:
1
Пошаговое объяснение:
надеюсь правильно!!!!!!@
Приложения:

Вас заинтересует
2 года назад
2 года назад
2 года назад
2 года назад
8 лет назад
8 лет назад
9 лет назад
9 лет назад