• Предмет: Математика
  • Автор: dasha298820
  • Вопрос задан 3 года назад

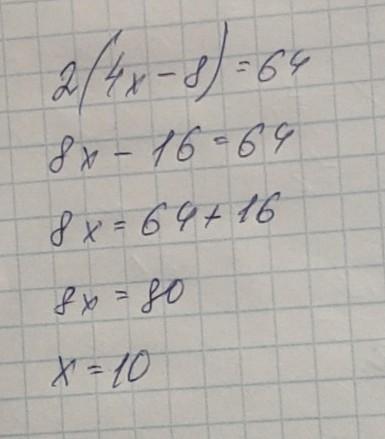
уравнение.Умоляю помогите!! с решением

Приложения:

Ответы

Ответ дал: tatsach
0

Ответ:

Пошаговое объяснение:

4х-8=64:2

4х-8=32

4х=32+8

4х=40

Х=40:4

Х=10

Ответ дал: lagutinavarvara339
0

Ответ:

вотььььььььь

Пошаговое объяснение:

вотььььь

Приложения:
Вас заинтересует