• Предмет: Алгебра
  • Автор: reyd53797
  • Вопрос задан 3 года назад

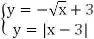
Решите графически систему уравнений

Приложения:

Ответы

Ответ дал: lidiasaraa3
0

Ответ:----------------------

Объяснение:

Приложения:
Вас заинтересует