• Предмет: Математика
  • Автор: tsvetkovtaa
  • Вопрос задан 3 года назад

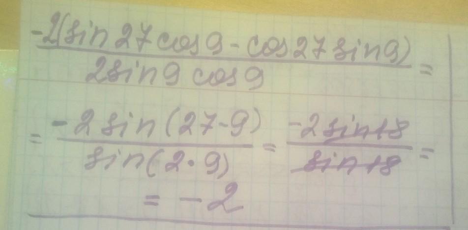
Найдите значение выражения.

Сразу предупреждаю! Открыть калькулятор я и сам могу! Синусы и косинусы в этом примере - иррациональные величины! Поэтому используя калькулятор вы не дадите правильного ответа! Чтобы найти точное значение выражения необходимо использовать тригонометрию и тригонометрические формулы.
\frac{sin63}{cos9} -\frac{sin27}{cos81}


Аноним: А сам пример то где?
tsvetkovtaa: внизу
Аноним: Вижу
LFP: в задании вы не указали: углы в градусах (обязательно нужно ставить соответствующий значок) или в радианах (эти единицы измерения не имеют обозначений... просто число - это угол в радианах))
LFP: если в задании указаны углы в градусах, то cos(81°)=cos(90°-9°)=sin(9°)
LFP: sin(63°)=sin(90°-27°)=cos(27°)
LFP: осталось вычесть дроби (т.е. привести их к общему знаменателю)
tsvetkovtaa: извините, но у меня на клавиатуре нет значка градуса

Ответы

Ответ дал: manyny06
2

Ответ:

решение смотри на фотографии

Приложения:
Вас заинтересует