• Предмет: Алгебра
  • Автор: reyd53797
  • Вопрос задан 3 года назад

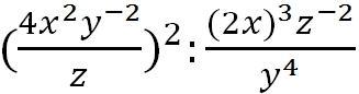
Срочно. Выполните действия

Приложения:

Ответы

Ответ дал: kchau1
0

Объяснение:

......................

Приложения:
Вас заинтересует