Ответы
Ответ дал:
0
Ответ:
-13
Пошаговое объяснение:
Ответ дал:
1
Ответ:
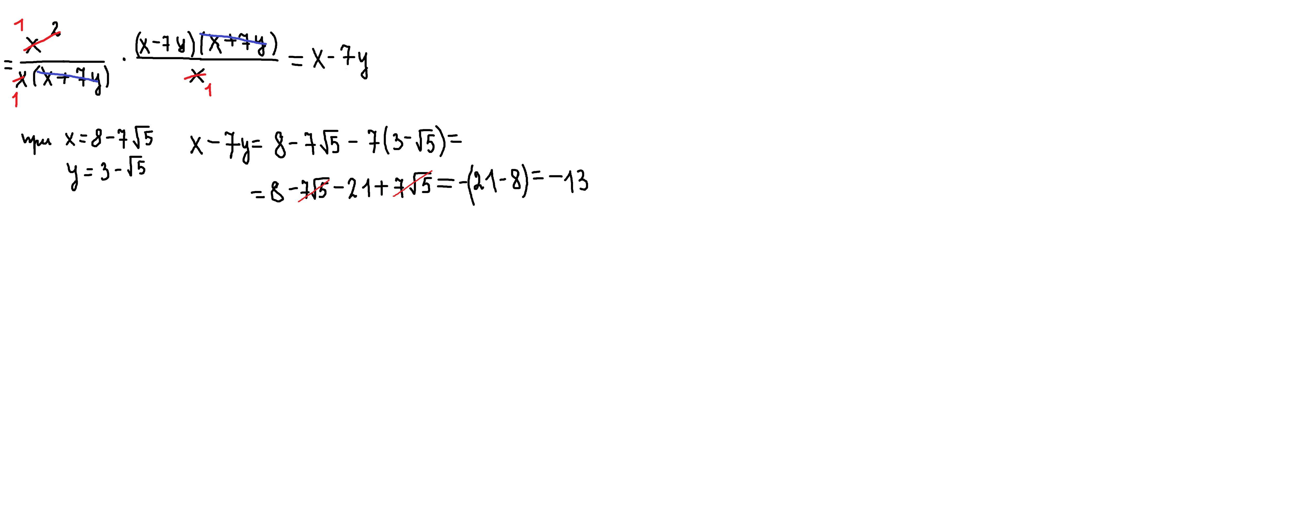
-13
Пошаговое объяснение:
условие не переписывала,сразу решение
Приложения:

Вас заинтересует
2 года назад
2 года назад
2 года назад
2 года назад
8 лет назад
9 лет назад