• Предмет: Алгебра
  • Автор: Rimaks
  • Вопрос задан 3 года назад

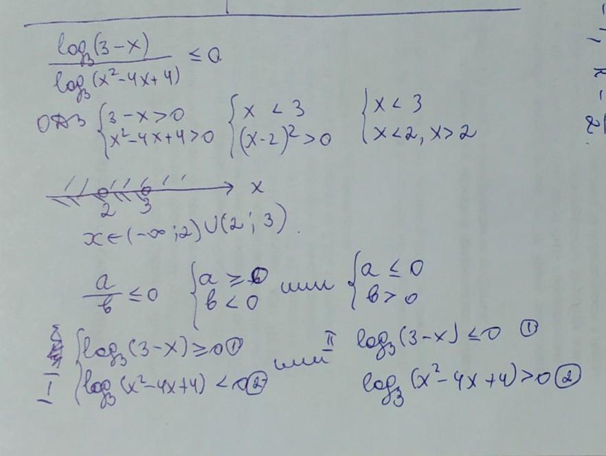
Решите неравенство срочно прошу с полным решением

Приложения:

Simba2017: равенства не будет нигде, ОДЗ три интервала, поэтому я бы знак определили в каждом интервале и нашла ответ

Ответы

Ответ дал: kirichekov
0

Объяснение:

решение во вложении (два фото)

Приложения:

Simba2017: описка в ОДЗ ! х меньше -2!и интервал тогда с минусом...
Simba2017: извините, я не права.....
Simba2017: извините, а в случае II разве ответ не пустое множество?
Simba2017: у самих 2 неравенств общий ответ х больше 3, а одз меньше 3(кроме 2) -тогда пересечения нет! Или я опять не права?
Rimaks: да там в пересечении он двойку и тройку не там поставил
Вас заинтересует