• Предмет: Физика
  • Автор: gamenorkban
  • Вопрос задан 3 года назад

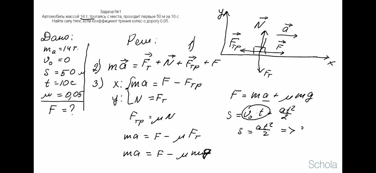
Вопрос- почему получилось 14 000 на втором скриншоте

Приложения:

Ответы

Ответ дал: Ereke230
1

Ответ:

F=m*+k*m*g=14000*2*50/100+0.05*14000*10=21кН

m = 14 т = 14000 кг.

Объяснение:

m у нас масса который нам дали 14 тонн если по СИ 14 тонн это 14 000 кг  вот и все мы просто переоброзовали 14 тонн

Вас заинтересует