• Предмет: Математика
  • Автор: Аноним
  • Вопрос задан 3 года назад

Христом богом прошу, помогите ​

Приложения:

Lovelesss: Всё))

Ответы

Ответ дал: Lovelesss
0

Ответ:

7.16

Чтобы перевести градусы в радианы мы должны наш угол *π/180°

а). 360°=360*π/180=2π

180°=π

90°=π/2

270°=3π/2

0°=0π/180=0

в). 60=π/3

120=2π/3

240=4π/3

300=5π/3

д). -45=-π/4

-90=-π/2

-135=-3π/4

-180=-π

7.17

Чтобы перевести радианы в градусы мы должны наш угол в радианах *180°/π

а). 2π=360, π=180, π/2=90, 3π/2=270, 0=0/π=0

в). π/3=69, 2π/3=120, 4π/3=240

5π/3=300

д). -π/2=-90

-π/12=-15

-3π/4=-135

-5π/6=-150

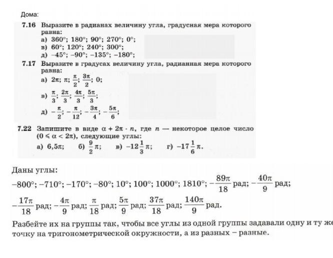
7.22

Надо просто математическими преобразованиями привести число к нужному виду.

Смотри на фотку

Далее это решение уже после того, что напечатано на фотографии ( на самом деле я просто задолбалась печатать в той программе))

-13,2π =-(1,2 +12)π =-1,2π -12π=-1,2π+2π -14π= 0,8π -14π =0,8π + 2π *(-7)

a=0,8π; n=-7.

21,7π=1,7π+20π=1,7π+2π*10

a=1,7π; n=10.

Приложения:

Аноним: спасибо огромное! а по геометрии сможешь помочь?
Lovelesss: Тебе прямо сегодня надо?
Вас заинтересует