• Предмет: Алгебра
  • Автор: averagesniper511
  • Вопрос задан 3 года назад

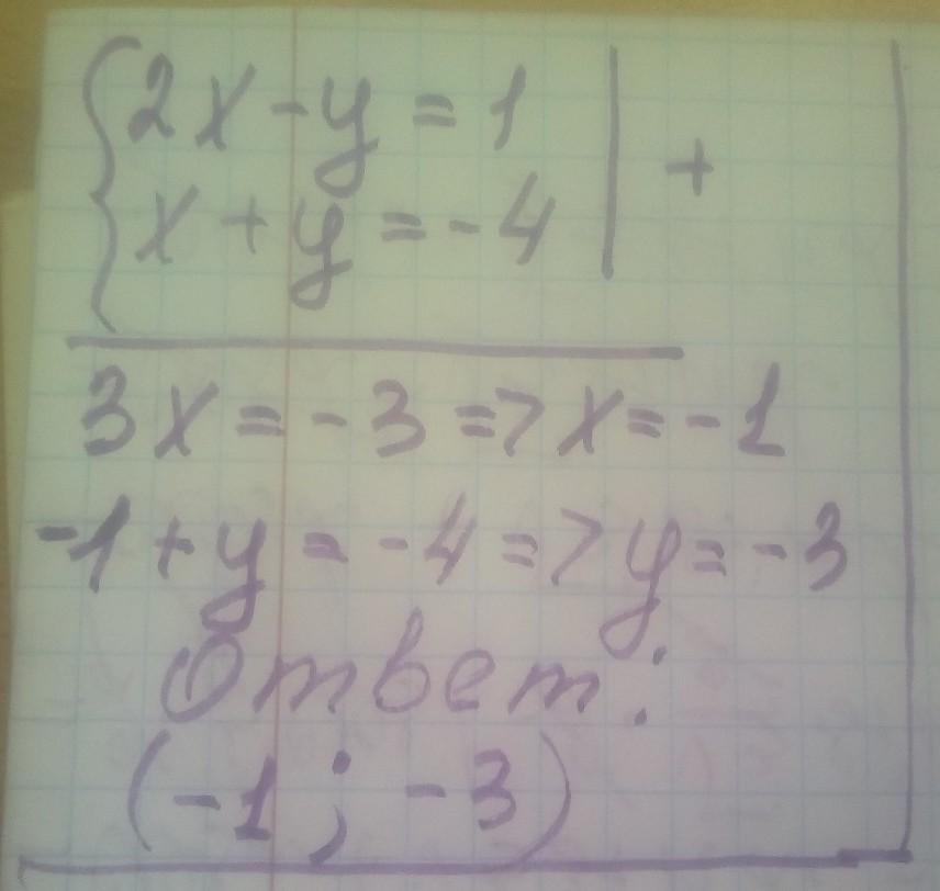
Решите на множестве действительных чисел систему уравнений (СРОЧНО У МЕНЯ ТЕСТ)
2x-y=1
x+y=-4

Ответы

Ответ дал: manyny06
0

Ответ:

решение смотри на фотографии

Приложения:
Ответ дал: djdssvjkjd
0

Ответ:

///////////////////////

Приложения:
Вас заинтересует