• Предмет: Алгебра
  • Автор: sosleplay3232
  • Вопрос задан 3 года назад

СРОЧНО ПОМОГИТЕ ПАЖАЛУЙСТА ДАМ 25 БАЛОВ!!!!!!!!!!
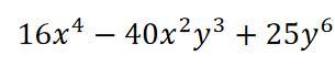
Представьте многочлен в виде квадрата разности

Приложения:

Ответы

Ответ дал: anaid88
1

Ответ:

(4x^2-5y^3)^2

Объяснение:

(4x^2-5y^3)^2

Вас заинтересует