СРОЧНО ПОМАГИТЕ ПАЖАЛУЙСТА ДАМ 25 БАЛОВ
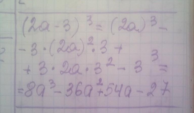
Преобразуйте выражение и представьте ответ в виде многочлена в стандартном виде
Приложения:

Ответы
Ответ дал:
1
Ответ:
решение смотри на фотографии
Приложения:

Аноним:
Жб
Вас заинтересует
2 года назад
2 года назад
2 года назад
8 лет назад
9 лет назад