• Предмет: Физика
  • Автор: sramkooleg907
  • Вопрос задан 3 года назад

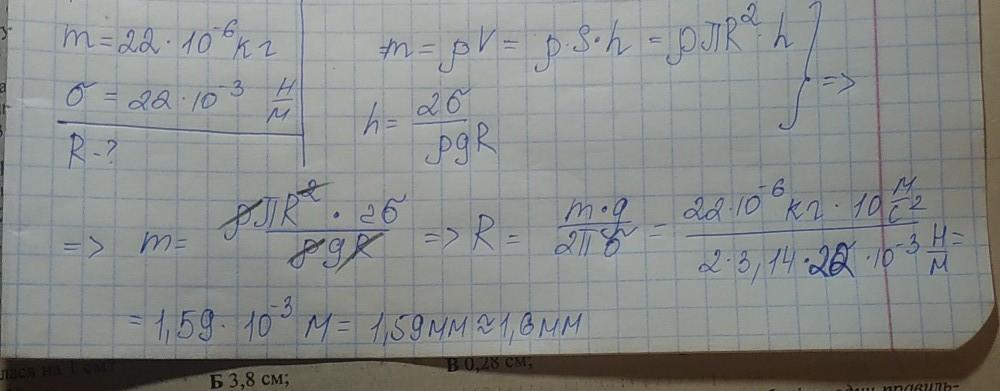
Маса спирту, що піднявся капіляром, дорівнює 22 мг. Визначте радіус
капіляра, якщо коефіцієнт поверхневого натягу спирту дорівнює 22
мН/м.
Помогите пожалуйста нужно срочно сделать буду очень благодарен.​


ivan05antonov: Реши сам
sramkooleg907: Ди на

Ответы

Ответ дал: Aedda
15

Ответ:

1.6 мм

Объяснение:

Решение во вложении.

Приложения:
Вас заинтересует