Ответы
Ответ дал:
1
Ответ:
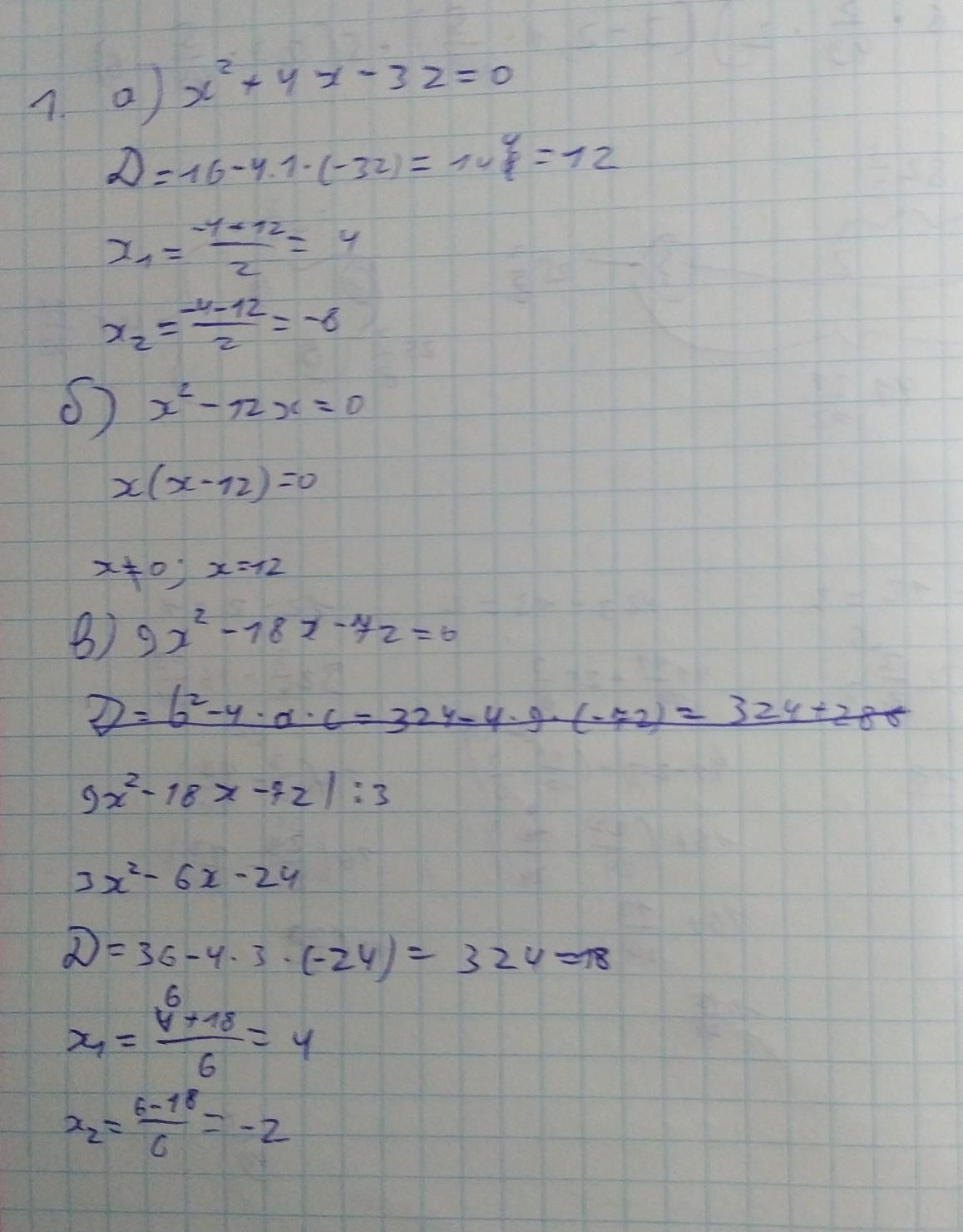
1. а) x1=4 x2=-8
b) x=12
в) x1=4 x2=-2
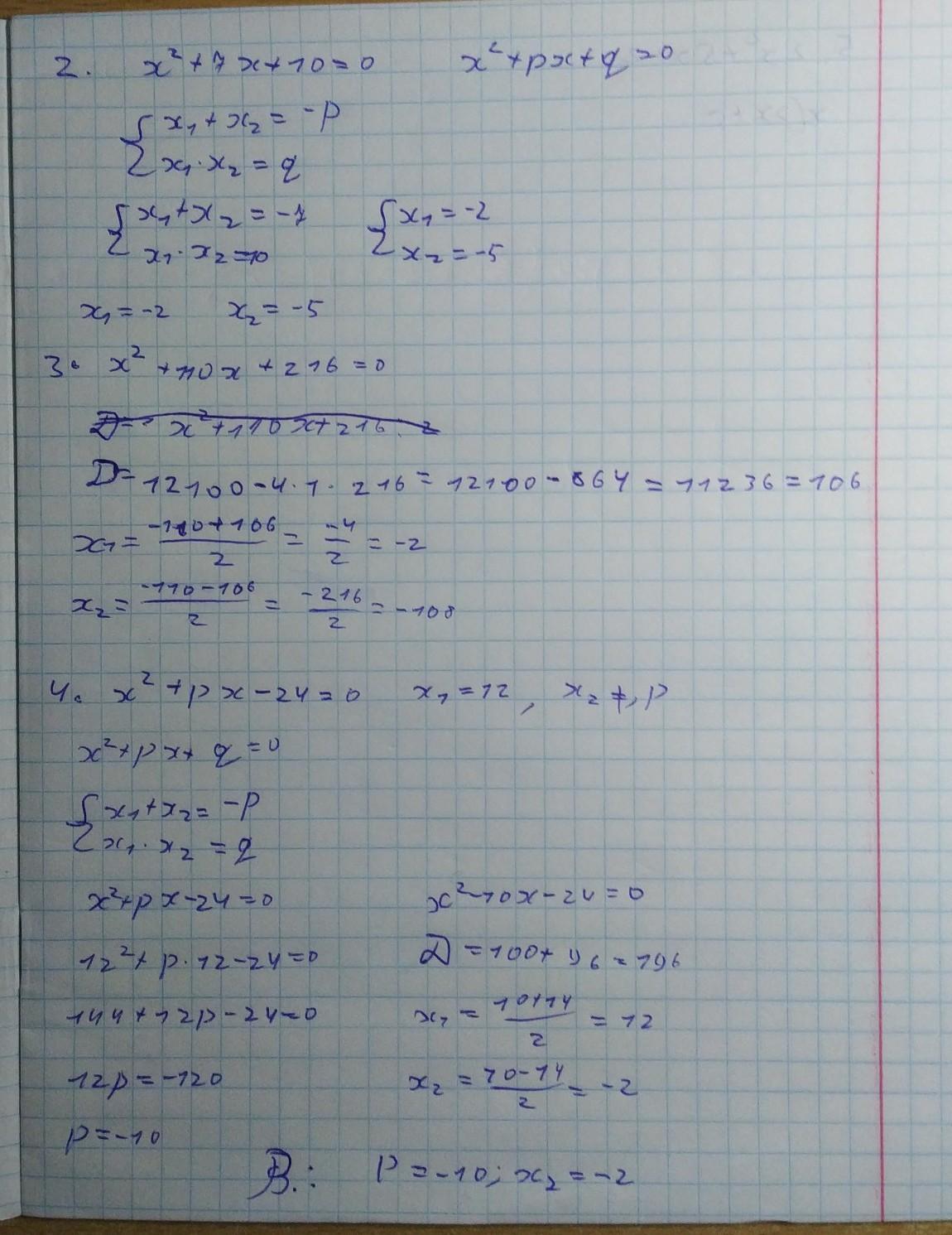
2. x1=-2 x2=-5
3. x1=-2 x2=-108
4. p=-10 x2=-2
5. не решил(
Приложения:


cocotiamatititi:
можешь решить вариант моей подруге
Вас заинтересует
2 года назад
2 года назад
2 года назад
8 лет назад