• Предмет: Математика
  • Автор: kobraleon150319
  • Вопрос задан 3 года назад

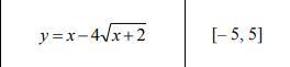
Найдите наибольшее и наименьшее значения функции y=f(x) на отрезке [a;b]
ПОМОГИТЕ ПОЖАЛУЙСТА!

Приложения:

Ответы

Ответ дал: sonyasokolova307
0

я вкинулась и не откинулась


kobraleon150319: Решить можете?
Вас заинтересует