• Предмет: Алгебра
  • Автор: ovs17
  • Вопрос задан 3 года назад

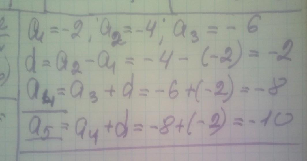
Следующий член арифметической прогрессии −2;−4;−6... равен

Ответы

Ответ дал: manyny06
1

Ответ:

решение смотри на фотографии

Приложения:
Вас заинтересует