• Предмет: Алгебра
  • Автор: Аноним
  • Вопрос задан 3 года назад

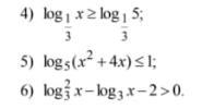
розв'яжіть нерівність, прості логарифми, 100 балів

Приложения:

Ответы

Ответ дал: Miroslava227
1

Ответ:

решение на фотографиях

Приложения:

Аноним: спасибо большое)0)
Вас заинтересует