• Предмет: Математика
  • Автор: 89Oleg89
  • Вопрос задан 3 года назад

Сделайте пожалуйста, заранее спасибо

Приложения:

Ответы

Ответ дал: palilov243659
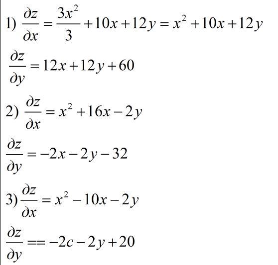
1

Ответ:

Пошаговое объяснение:

..............................................

Приложения:
Вас заинтересует