Ответы
Ответ дал:
1
Ответ:
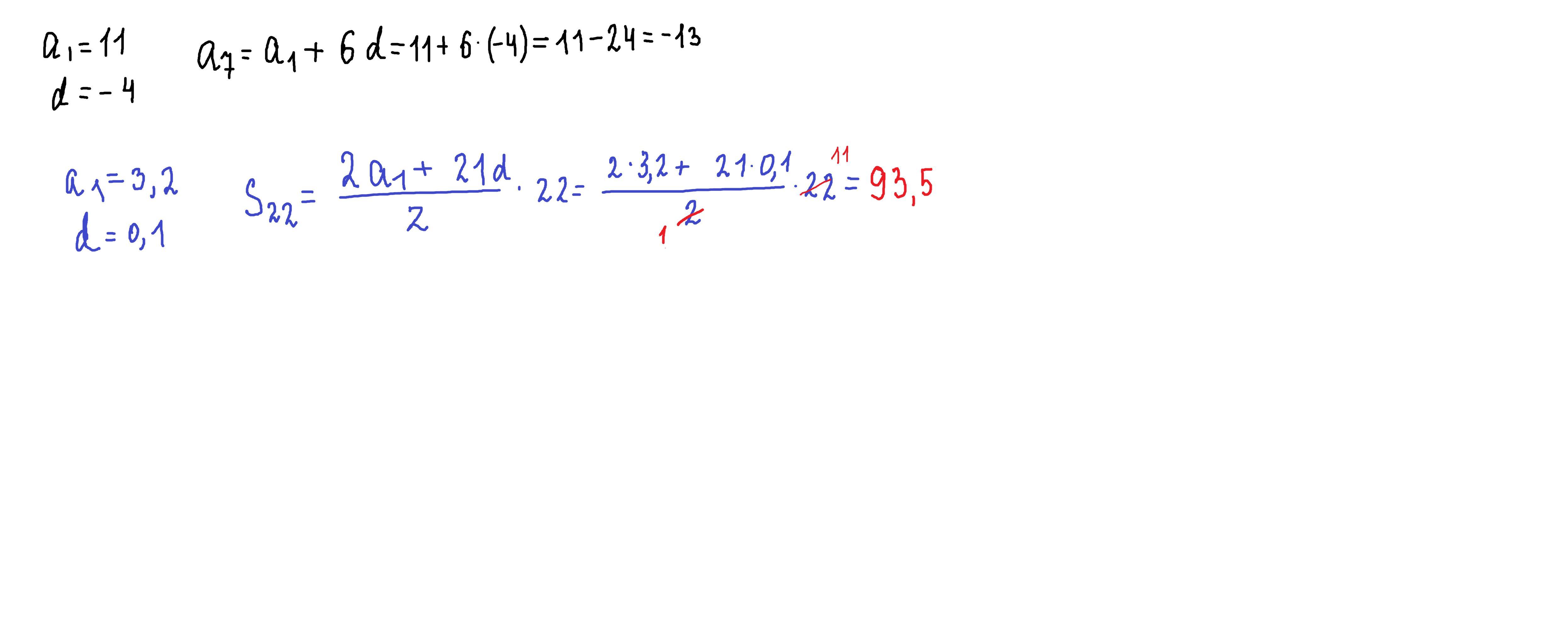
а7= -13 S22=93,5
Пошаговое объяснение:
решение внизу
Приложения:

Jokerdjd:
спасибо
Вас заинтересует
2 года назад
2 года назад
2 года назад
8 лет назад