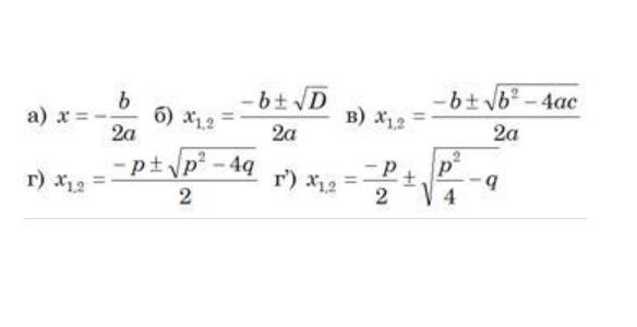
Для обчислення коренів квадратного рівняння ах^2+bх+с=0, якщо а≠0 і D=0 можна використовувати формулу:
1. а), б),в); 2. а), в); 3. б), г); 4. б), в), ґ); 5. а); 6. б); 7. а), ґ)стовувати формулу
Приложения:

Ответы
Ответ дал:
6
Ответ: a) .
NNNLLL54:
а,б,в,
Вас заинтересует
2 года назад
2 года назад
2 года назад
2 года назад
8 лет назад
8 лет назад
9 лет назад