Ответы
Ответ дал:
48
Ответ:
х₁=-0,75
х₂=1,5
Объяснение:
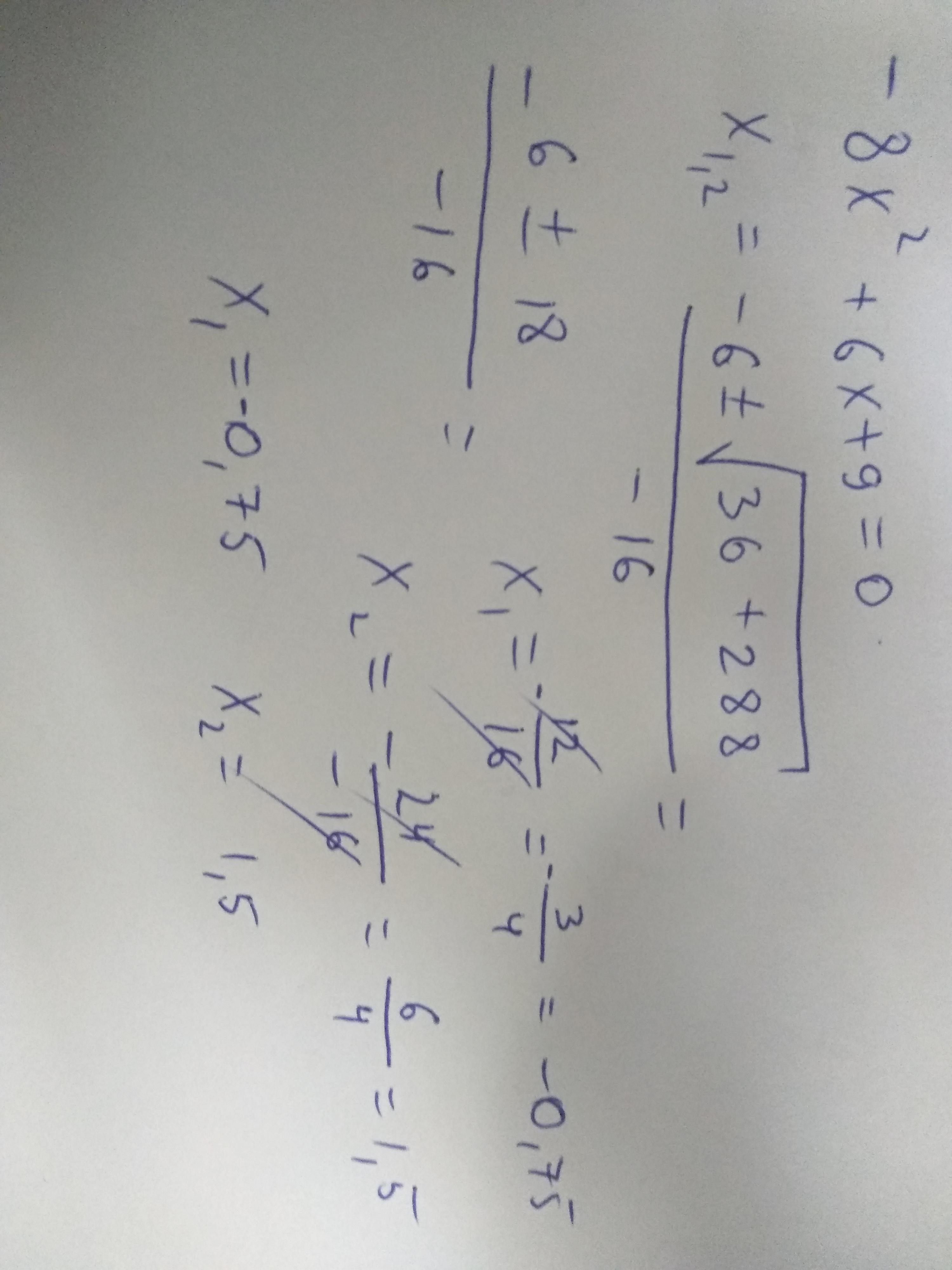
9+6x-8x²=0
-8х²+6х+9=0
D=36+288=324=18*18
х₁=
х₂=
aleksposeidon:
спасибо
Пожалуйста
мне тоже нужны коронка
Мне тоже ооооооооочень нужна корона
Ответ дал:
8
Ответ:
1,5; и -0,75
Объяснение:
Квадратное уравнение вида -8х²+6х+9=0 решается так
Приложения:
Буду благодарен если нажмёшь мне корону (лучший ответ)
Заранее спасибо
:)
Пасиба большое))
незачто
Вас заинтересует
2 года назад
2 года назад
3 года назад
8 лет назад
8 лет назад
10 лет назад