• Предмет: Математика
  • Автор: e9fxp
  • Вопрос задан 3 года назад

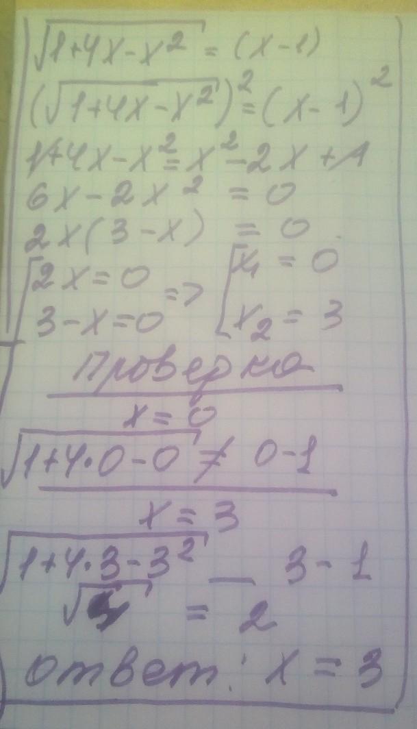
Решите уравнение на множестве R

Приложения:

Ответы

Ответ дал: manyny06
1

Ответ:

решение смотри на фотографии

Приложения:
Вас заинтересует