• Предмет: Математика
  • Автор: dijohag975
  • Вопрос задан 3 года назад

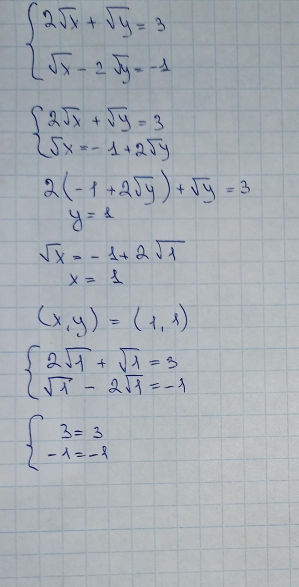
Решите систему уравнений на множестве RxR

P.s Спасибо за помощь в трудный момент

Приложения:

Ответы

Ответ дал: Anastasia260619
1

Ответ:

ответ подробно описан в фото

Приложения:

dijohag975: спасибо
Вас заинтересует