Ответы
Ответ дал:
7
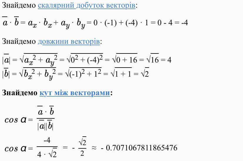
вот решение и ответ 135 градусов
Приложения:

Вас заинтересует
2 года назад
2 года назад
8 лет назад
8 лет назад
9 лет назад