Ответы
Ответ дал:
1
Ответ:
-0.1
Пошаговое объяснение:
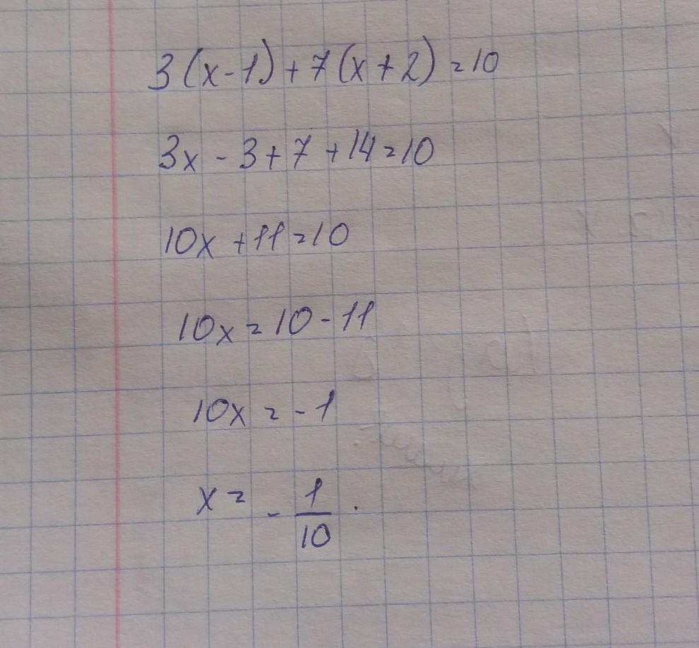
3х-3+7х+14=10
10х=10-11
10х=-1
х=-0.1
yarynkahdakovyych:
спосибо большое
Ответ дал:
4
︎︎ ︎︎ ︎︎ ︎︎ ︎︎ ︎︎ ︎︎ ︎︎ ︎︎ ︎︎ ︎︎ ︎︎ ︎︎ ︎︎ ︎︎ ︎︎︎︎ ︎︎ ︎︎ ︎︎ ︎︎ ︎︎ ︎︎ ︎︎ ︎︎ ︎︎ ︎︎ ︎︎ ︎︎ ︎︎
Приложения:

Вас заинтересует
2 года назад
2 года назад
2 года назад
8 лет назад
9 лет назад
9 лет назад