Срочно 1:44÷0,9 решение столбиком
TheDeformaZz:
1,44 может?
Ответы
Ответ дал:
4
Ответ:
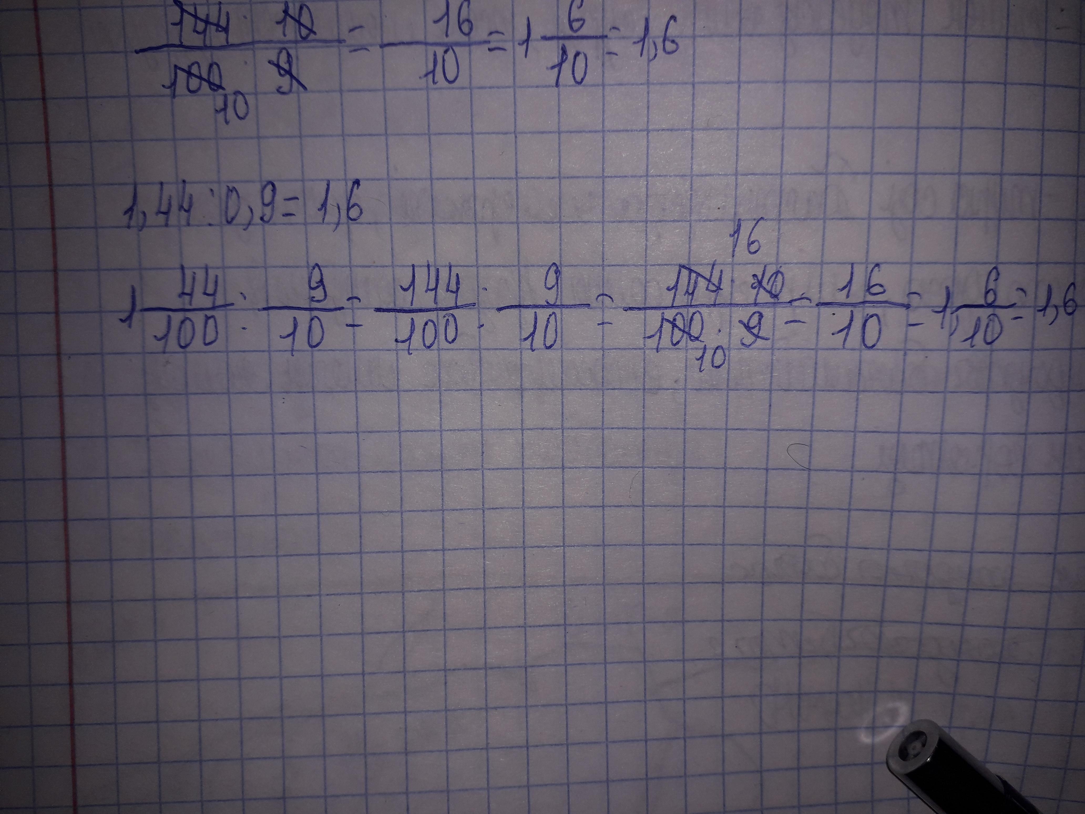
1,6
Пошаговое объяснение:
===============================
Для более удобного деления перенесём запятую у обоих чисел на два знака, чтобы они стали целыми и тогда поделим.
===============================
Приложения:

Ответ дал:
1
В фото показала решение столбиком, надеюсь понятно
Приложения:

Вас заинтересует
2 года назад
2 года назад
2 года назад
2 года назад
8 лет назад
8 лет назад
9 лет назад
9 лет назад