• Предмет: Алгебра
  • Автор: nkuzovkina077
  • Вопрос задан 3 года назад

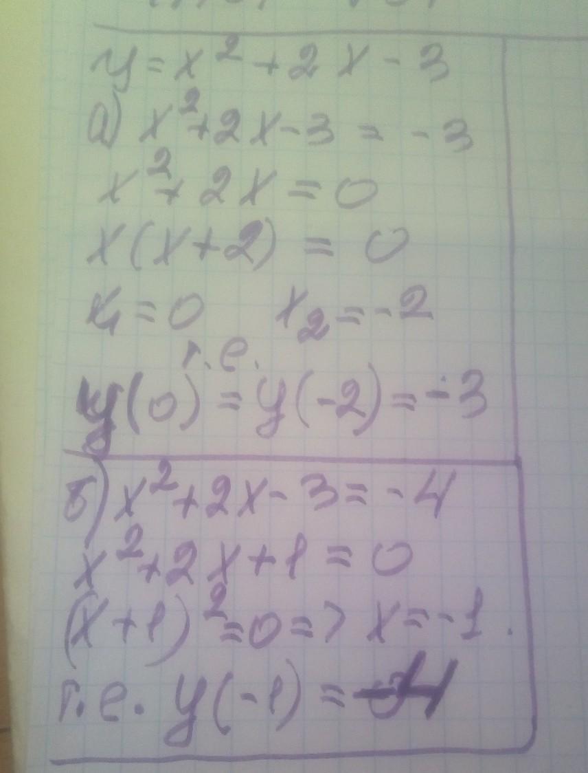
Функція задана формулою у = х2 + 2х – 3. Для яких значень аргументу значення функції дорівнює: а) –3; б) –4?

Ответы

Ответ дал: manyny06
7

Ответ:

решение смотри на фотографии

Приложения:
Ответ дал: palilov243659
1

Ответ:

a) x={-2;0}

b) x=-1

Объяснение:

a) x²+2x-3=-3⇒x²+2x=0⇒x(x+2)=0⇒x₁=0, x₂=-2

b) x²+2x-3=-4⇒x²+2x+1=0⇒(x+1)²=0⇒x=-1

Вас заинтересует