Сколько точек (x,y) на координатной плоскости удовлетворяет условию
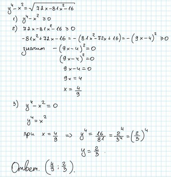
y⁴-x²=√72x-81x²-16
Приложения:

Ответы
Ответ дал:
62
Ответ:
Оу май, сам удивился, что решил, кайфанул
Не забудьте оценить
Объяснение:
Приложения:

y^2 = a
a > 0
y = +- sqrt(a)
Вас заинтересует
2 года назад
2 года назад
2 года назад
2 года назад
8 лет назад
8 лет назад
9 лет назад
9 лет назад
Можно его не писать
а вот корень второй потерян {{{{