• Предмет: Математика
  • Автор: LikamiDet
  • Вопрос задан 3 года назад

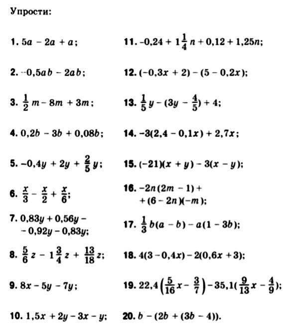
тут нужно упростить выражения, прошу помочь сделать от 6 и до 20 пункта

Приложения:

Ответы

Ответ дал: ananashimchistka
3

Ответ:

6) 2x/6 - 3x/6 + x/6 = 0

7) -0,36y

8) -7/30z

9)8x-12y

10)-1,5x + y

11) -0,12 + 2,5n

12) -0,1x-3

13)-2,8y+4,8

14) -7,2+3x

15)-24x-18y

16)-2mn+2n-6m

17)3 1/3ab-1/3b**2-a

18)6-2,8x

19) -17,3x+6

20)-4b+4

Пошаговое объяснение:


LikamiDet: благодарю!
Вас заинтересует