• Предмет: Алгебра
  • Автор: vladikkalosa11
  • Вопрос задан 3 года назад

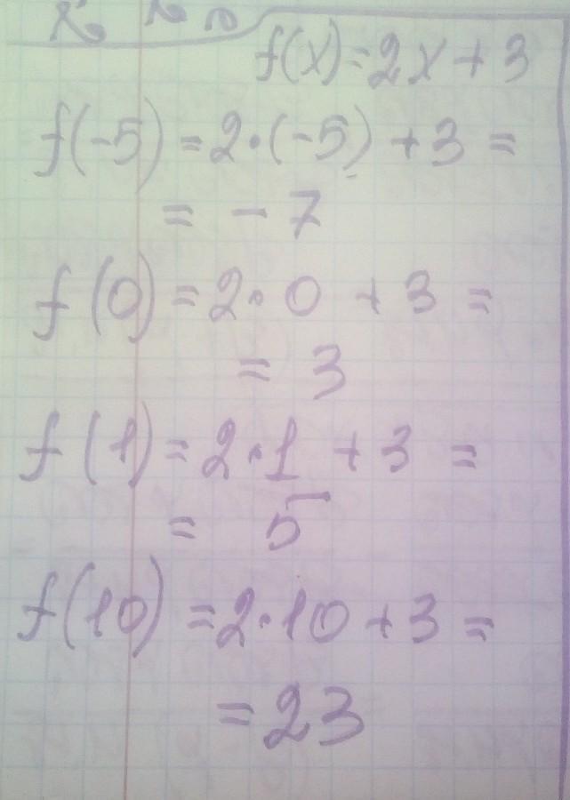
Для функции f(x) = 2х + 3 найдите f(-5),
f(0), f(1), f(10).​

Ответы

Ответ дал: manyny06
1

Ответ:

решение смотри на фотографии

Приложения:
Вас заинтересует