• Предмет: Алгебра
  • Автор: LonelyPussycat
  • Вопрос задан 3 года назад

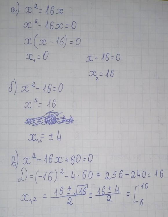
решить уравнения (в развёрнутом виде, пожалуйста)

Приложения:

Ответы

Ответ дал: KhMarta
1

ответ на фото

если что-то не понятно спрашивайте

Приложения:

LonelyPussycat: боже, спасибо !
KhMarta: Рада была помочь ヾ(^-^)ノ
Вас заинтересует