• Предмет: Математика
  • Автор: valerakruglak8
  • Вопрос задан 3 года назад

помогите пж все сделаю ооооочень срочно​

Приложения:

Ответы

Ответ дал: manyny06
1

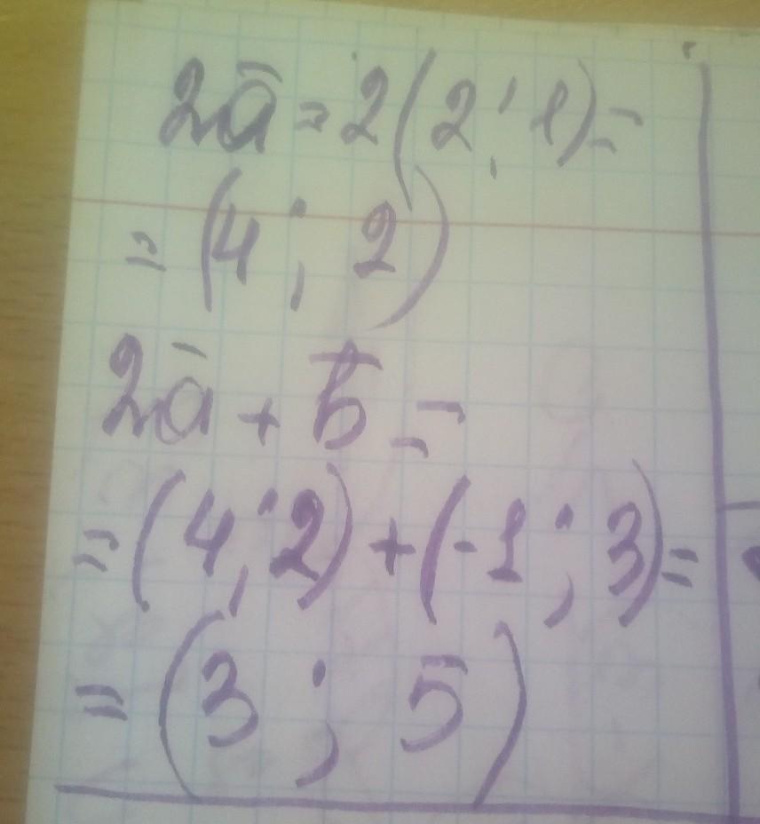
Ответ:

решение смотри на фотографии

Приложения:
Вас заинтересует