• Предмет: Математика
  • Автор: marta2404
  • Вопрос задан 3 года назад

срочно дам 30 балов!!!
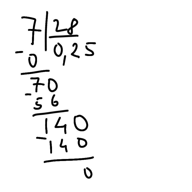
7÷28(в столбик)​

Ответы

Ответ дал: Kunjutblin
1

Ответ: 0,25

Пошаговое объяснение:

Приложения:
Ответ дал: Kruto1234569
0

Ответ:

0,25

Пошаговое объяснение:

7/28=0,25

Вас заинтересует