• Предмет: Алгебра
  • Автор: makckoz
  • Вопрос задан 3 года назад

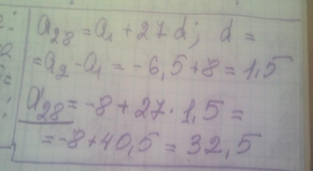
найдите 28 член прогресси -8;-6,5


bena20193: какая прогрессия? арифметическая или н=геометрическая?

Ответы

Ответ дал: manyny06
0

Ответ:

решение смотри на фотографии

Приложения:
Вас заинтересует