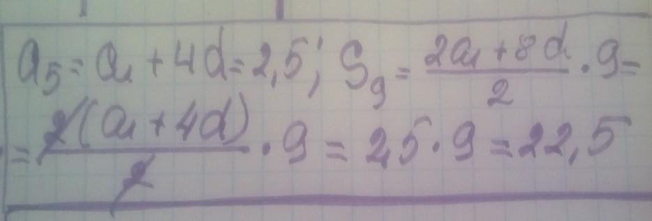
п'ятий член арифметичної прогресії дорівнює 2,5. Знайдіть суму перших дев' яти членів чієї пргресії
Ответы
Ответ дал:
3
Ответ:
решение смотри на фотографии
Приложения:
Вас заинтересует
2 года назад
2 года назад
3 года назад
3 года назад
8 лет назад
10 лет назад
10 лет назад