Ответы
Ответ дал:
1
Ответ:
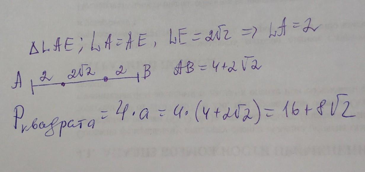
Р=12×(1+√3) см
Пошаговое объяснение:
решение во вложении (1-е задание два фото
4-е задание фото ✓3
2-е задание фото ✓4)
Приложения:




Страх0:
спасибо большое, но я уже решила(
Вас заинтересует
2 года назад
2 года назад
2 года назад
8 лет назад
9 лет назад