Ответы
Ответ дал:
4
Ответ:
решение смотри на фотографии
Приложения:

Ответ дал:
4
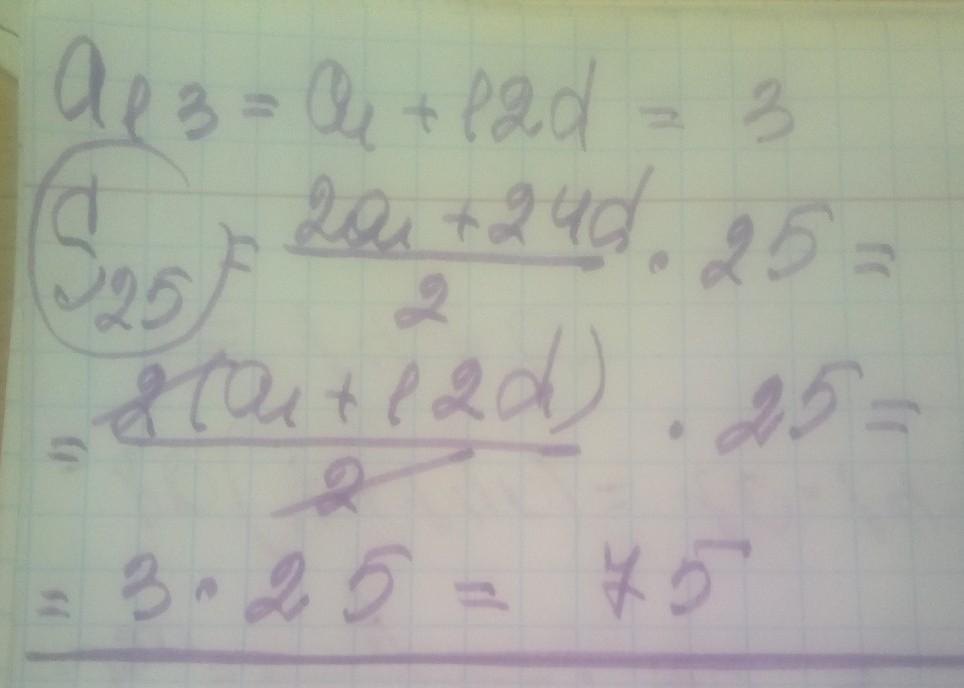
Відповідь:
75
Пояснення:
Тут потрібно виразити 1 і 25 член прогресії через 13. За теоремою про середнє арифметичне отримаємо
a13=(a1+a25)/2=3.
Така ж півсума фігурує у формулі суми прогресії, тому отримаємо
S=(a1+an)/2 *n=3*25=75.
Вас заинтересует
2 года назад
2 года назад
8 лет назад
8 лет назад
9 лет назад
9 лет назад