• Предмет: Алгебра
  • Автор: ostanindenis
  • Вопрос задан 3 года назад

решить уравнения.
2Х-5(Х-3)=12
18-5(9-Х)=8
желательно с решением

Ответы

Ответ дал: tatsach
2

Ответ:

Объяснение:

2Х-5(Х-3)=12

2х-5х+15=12

2х-5х=12-15

-3х=-3

Х=-3:(-3)

Х=1

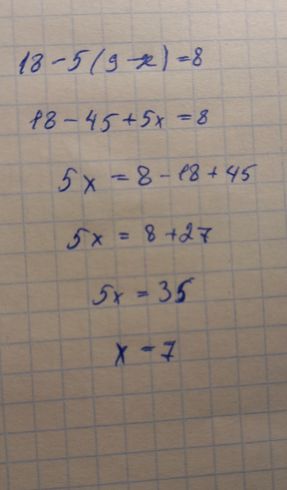
18-5(9-Х)=8

18-45+5х=8

5х=8+45-18

5х=35

Х=35:5

Х=7

Ответ дал: hudaievavika1257
1

Объяснение:

...........................

Приложения:
Вас заинтересует