• Предмет: Алгебра
  • Автор: rinnydia
  • Вопрос задан 3 года назад

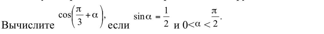
Решите пожалуйста. Очень важно.

Приложения:

Ответы

Ответ дал: zaicdnk90
0
.........................
Приложения:
Вас заинтересует