• Предмет: Математика
  • Автор: Kristina133443455
  • Вопрос задан 3 года назад

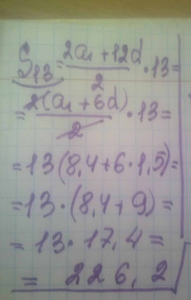
дана арифметична прогресія (a n) відомо що а1 = 8,4 і d = 1,5
Обчисли суму перших тринадцяти членів арифметичної прогресії
запиши відповідь у вигляді числа, округливши його до десятих

Ответы

Ответ дал: manyny06
3

Ответ:

решение смотри на фотографии

Приложения:
Вас заинтересует