• Предмет: Алгебра
  • Автор: yaroslavrudov00
  • Вопрос задан 3 года назад

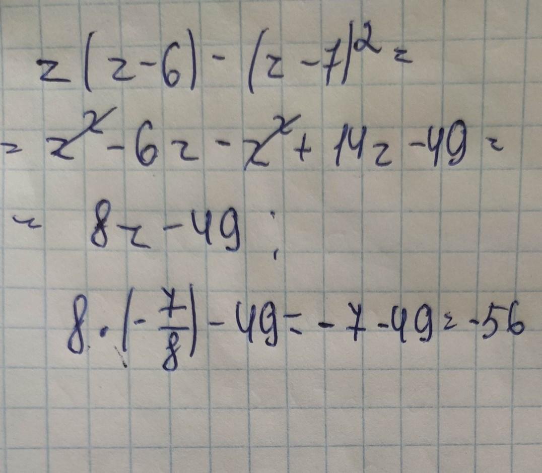
Найдите значение выражения
z(z-6)-(z-7) в степени 2 при z= - 7/8

Ответы

Ответ дал: nastyamilena10
3

Ответ:

-56.......................

Приложения:
Вас заинтересует