Ответы
Ответ дал:
1
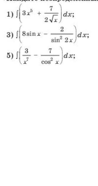
Ответ:в прикреплённом файле
Пошаговое объяснение:
Приложения:

Вас заинтересует
2 года назад
2 года назад
2 года назад
8 лет назад
9 лет назад
9 лет назад